至此,所考慮的MOS晶體管的工作,都是柵極—源極間電壓VGS比閾值電壓VT大時的狀況。當VGS比VT大很多時,在柵氧化膜下方構成反型層(溝道),在漏極-源極間有電流活動,這種狀態(tài)稱為強反型狀態(tài)。
但是,即便MOS晶體管的柵極,源極間電壓VGS處在閾值電壓VT以下,漏極電流也并不等于0,依然有微小的電流活動,這時MOS晶體管的工作狀態(tài)叫做弱反型(weak inversion),工作區(qū)域叫做弱反型區(qū)。
在弱反型區(qū),漏極電流關于VGS呈指數關系增加,電流表達式為下式:


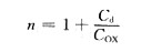
式中,Io是與制造工藝有關的參數;”叫做斜率因子(slope factor),由耗盡層電容Cd與柵氧化膜電容Cox之比按下式計算求得:


n的普通值是1~1.5。另外,n值還能夠從圖2.8中曲線的斜率求得。這個曲線的橫軸是VGS,縱軸取logID。n越小,logID-VGS。曲線在弱反型區(qū)中直線局部的斜率就越陡,MOS晶體管的漏電流就越小。這個斜率的倒數叫做亞閾擺動(sub-threshold swing)或者亞閾斜率(subthreshold slope),其定義式如下:


亞閾擺動S表示弱反型區(qū)中漏極電流變化1個數量級所需求的柵極-源極間電壓。應用式(2.12),能夠得到


其單位通常用(mV/dec)表示。亞閾擺動小的MOS晶體管,意味著OFF時的漏電流小。當n=1時,室溫下下面求弱反型區(qū)中的跨導gm。


由式(2.1)和式(2.l2)能夠得到由該式能夠看出,弱反型區(qū)中跨導與漏極電流成比例。
烜芯微專業(yè)制造二三極管,MOS管,20年,工廠直銷省20%,1500家電路電器生產企業(yè)選用,專業(yè)的工程師幫您穩(wěn)定好每一批產品,如果您有遇到什么需要幫助解決的,可以點擊右邊的工程師,或者點擊銷售經理給您精準的報價以及產品介紹
烜芯微專業(yè)制造二三極管,MOS管,20年,工廠直銷省20%,1500家電路電器生產企業(yè)選用,專業(yè)的工程師幫您穩(wěn)定好每一批產品,如果您有遇到什么需要幫助解決的,可以點擊右邊的工程師,或者點擊銷售經理給您精準的報價以及產品介紹

