米勒效應是以約翰·米爾頓·米勒命名的。1919年或1920年米勒在研究真空管三極管時發現了這個效應,這個效應也適用于現代的半導體三極管。
米勒效應(Miller effect)是指晶體管放大電路中,輸入與輸出之間的分布電容或寄生電容由于放大器的放大作用,其等效到輸入端的電容值會擴大1+K倍,其中K是該級放大電路電壓放大倍數。
雖然一般米勒效應指的是電容的放大,但是任何輸入與其它高放大節之間的阻抗也能夠通過米勒效應改變放大器的輸入阻抗。
什么是米勒效應?
假設一個增益為-Av 的理想反向電壓放大器


在放大器的輸出和輸入端之間連接一個阻值為Z 的阻抗。
得到,


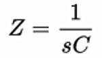
把阻抗Z 替換為容值為C 的電容,




由此可見,反向電壓放大器增加了電路的輸入電容,并且放大系數為(1+Av)。
米勒效應的危害
當使用高頻信號傳輸時,米勒效應可能會導致輸出信號的失真,而且各向同性的元件(比如二極管、晶體管等)產生的電容不可避免地引入了米勒效應,從而提高了誤差和噪聲,甚至還會導致系統的不穩定。
mos管的米勒效應分析
MOSFET中柵-漏間電容,構成輸入(GS)輸出(DS)的反饋回路,MOSFET中的米勒效應就形成了。


在t0-t1 時間內,VGS上升到MOSFET 的閾值電壓VG(TH)。
在t1-t2時間內,VGS繼續上升到米勒平臺電壓, 漏極電流ID 從0 上升到負載電流 。(NOTE:在漏極電流IDS未到負載電流ID時,一部分的負載電流(IDS-ID)流過二極管D,二極管導通MOSFET的漏極電壓VDS被VDD鉗位,保持不變,驅動電流只給CGS充電,VGS電壓升高。一旦IDS達到負載電流 , 二極管D反向截止,MOSFET的漏極電壓VDS開始下降,驅動電流全部轉移給CGD充電,VGS也就保持米勒平臺電壓不變。)
在t2-t3 時間內,VGS一直處于平臺電壓,VDS開始下降至正向導通電壓VF。
在t3-t4 時間后,VGS繼續上升。


米勒效應在電子電路中應用廣泛:
(1)米勒積分
在集成運算放大器開環增益A很高的情況下,展寬積分線性范圍,提高運算精度,獲得了廣泛的運用。
(2)用米勒電容補償,消除自激反應
由于米勒電容補償后的頻率響應,是一種在0dB帶寬不受損失的情況下, 使集成運算放大器沒有產生自激可能品質優良的“完全補償‘。
同時,米勒效應使小補償電容可以制作在基片上,從而實現了沒有外接補償元件的所謂“ 內藏補償” 。
設計放大電路時,米勒效應的特性需要被考慮進去。這包括選擇合適的元件、增加輸入和輸出信號之間的電容來抵消它帶來的影響等。此外,米勒效應還可以被應用于一些領域,如毫微秒計數和時間測量等。
〈烜芯微/XXW〉專業制造二極管,三極管,MOS管,橋堆等,20年,工廠直銷省20%,上萬家電路電器生產企業選用,專業的工程師幫您穩定好每一批產品,如果您有遇到什么需要幫助解決的,可以直接聯系下方的聯系號碼或加QQ/微信,由我們的銷售經理給您精準的報價以及產品介紹
聯系號碼:18923864027(同微信)
QQ:709211280

